Существенное значение имеют процессы стереоспецифической полимеризации, приводящие к получению так называемых сте — реорегулярных полимеров, обладающих особыми свойствами.
Как известно, атом углерода, имеющий четыре разных заместителя, может находиться в двух конфигурациях, представляющих взаимное зеркальное отражение. Такие конфигурации называются стереоизомерами.
Стереоизомерия может проявляться и в макромолекулах полимеров. В линейном полиэтилене для этого нет возможности, но если в повторяющемся звене полиэтилена заменить всего один атом водорода на другой атом или радикал, то в полимерной цепи появится третичный атом углерода. Например, в звене цепи винилового полимера К’—СН2—СНХ—И углеродный атом группы —СНХ— является центром стерической (пространственной) изомерии, и эта группа может принимать две конфигурации, не способные переходить одна в другую без разрыва связей. Следовательно, стереорегулярные полимеры можно получать из виниловых мономеров, или из диенов (цис-транс-изо — мерия).
Поскольку заместители при таком атоме углерода разные (X, Н и два полимерных сегмента И’ и И неодинаковой длины), такой атом часто называют асимметрическим. Это неточно, поскольку в действительности он оптически неактивен.
Полимеры с высокой степенью стереорегулярности называют тактическими; если же конфигурации распределены в макромолекуле статистически — атактическими. В виниловых полимерах возможны два вида стереорегулярности: если центр стерической изомерии в каждом повторяющемся звене имеет одну и ту же конфигурацию, то полимер называют изотактическим, а полимер, содержащий альтернативные конфигурации, — синдиотак — тическим (симметрично дизамещенные этилены образуют более сложные стереорегулярные структуры). Структуру таких полимеров можно пояснить, применив проекционное изображение макромолекул (по Фишеру). При этом предполагается, что основная зигзагообразная цепь макромолекул вытянута в одной плоскости. Тогда для винильных полимеров СН2=СНИ возможны следующие структуры (на схемах атомы С не обозначены, углерод центра стерической изомерии находится в плоскости чертежа, вертикальные линии — связи, направленные за его плоскость):
|
Н— |
—н |
Н— |
—н |
Н— |
—н |
|
Н— |
-и |
Н— |
-и. |
Н— |
-я |
|
Н- |
—н |
Н— |
—н |
Н— |
—н |
|
Н— |
-я |
Я— |
—н |
Н— |
—я |
|
Н— |
—н |
Н- |
—н |
Н— |
—н |
|
Н— |
—н |
Н— |
-к |
И— |
—н |
|
А Ь с |
На схеме (1.118) показаны структуры полимеров: а — изо — тактического с расположением заместителей К с одной стороны плоскости; Ь — синдиотактического с регулярно чередующимися И по обеим сторонам; с — атактического (гетеротактического, нестереорегулярного) со статистическим (неупорядоченным) расположением И. Полностью тактические {изо — и синдиотакти — ческие) или полностью атактические структуры полимеров возможны, по-видимому, только теоретически. Во многих полимерах содержатся последовательные изотактические или синдио — тактические фрагменты цепей, в промежутках между которыми могут находиться и атактические участки.
Стереорегулярные полимеры можно получать при полимеризации любого вида (анионной, катионной, радикальной). Полимеры с высокой степенью тактичности (стереорегулярности) получают главным образом путем координационно-ионной (координационно-анионной) полимеризации, при которой перед присоединением к активному центру мономер образует координационный комплекс с гетерогенным катализатором.
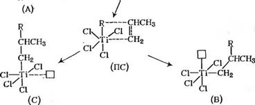
Каталитические системы для стереорегулярной полимеризации очень разнообразны и индивидуальны для каждого мономера. Наибольшее значение имеют катализаторы на основе переходных металлов, так называемые катализаторы Циглера — Натта. В координационном комплексе атом переходного металла является центральным, а молекулы мономера — лигандами. При использовании этих катализаторов процесс протекает по анионно-координационному механизму. При использовании системы Циглера — Натта [Т1С14—А1(С2Н5)3] на поверхности соли ПСЬ образуется каталитический центр, содержащий алкильную группу. По концепции Косси, на поверхности ТЮз ион И3* находится в октаэдрической координации, в которой четыре положения заняты анионами С1-, пятое — алкилом, а шестое — вакантно и на нем может образовываться я-комплекс с полимери — зующимися олефинами. После образования я-комплекса происходит ослабление лабильной связи переходный металл—углерод (титан—алкил) и происходит внедрение мономера по этой связи через четырехцентровое циклическое переходное состояние. Реакция идет по приведенной ниже схеме (И — алкильный остаток, □ — вакансия):
|
СН2=СНСНз |
|
I /С1 СНСНз |
|
> сі—Ті’ |
|
Ті<———- Ц 1 СН2 |
|
И |
|

Алкильная группа (полимерная цепь) к моменту внедрения следующей молекулы мономера остается в том же положении (В) или мигрирует в прежнее положение (С), так же, как В И). Можно представить также, что из переходного состояния
КПС) образуется непосредственно структура (С), в которой вакансия и полимерная цепь не меняются местами.
При оценке возможности получения стереорегулярных полимеров нужно учитывать следующее: тип подхода мономера.(его исходную ориентацию относительно реакционного центра растущей цепи); тип атаки мономером реакционного центра (цис — или транс-раскрытие двойной связи); конфигурацию концевого звена полимерной цепи в момент атаки ее мономером. Перечисленные факторы зависят от структуры мономера и катализатора, а также от свойств реакционной среды. Все эти условия могут быть соблюдены и при использовании гомогенных каталитических систем, которые могут быть зачастую технологически удобнее и эффективнее гетерогенных катализаторов. Гомогенные катализаторы представляют собой комплексы металлоорганических соединений и соединений переходных металлов. Однако они обладают меньшей стереоспецифичностью, чем гетерогенные катализаторы; механизм их действия изучен мало.
Стереорегулярные полимеры характеризуются высокими температурами плавления (размягчения) и плохой растворимостью. Так, атактический полипропилен практически не используется, а изотактический полипропилен, имеющий высокие температуру плавления и прочность, применяется в пластмассах и волокнах. Стереорегулярные полимеры обладают высокой химической стойкостью и другими ценными свойствами.
31 августа, 2013
admin
Опубликовано в рубрике 